Introduction
Materials and Methods
Study Period and Area
River Structure and Habitat Environment
Population Collection and Analysis
Results and Discussion
Habitat Environment Analysis
G. macrocephala Population Analysis
Age Distribution and Potential Growth Capability
Introduction
Riverine ecosystems can undergo rapid changes in biodiversity and ichthyofauna due to various natural factors such as topography, climate, hydrology, and anthropogenic disturbances (Rutherford et al., 1987). In particular, direct physical disturbances within rivers, such as stream channelization, aggregate extraction, and dredging, alter the riverbed substrate environment, severely affecting the stability of food sources, such as attached algae and aquatic insects, and the habitats of benthic fishes.
Fish of the genus Gobiobotia, belonging to the subfamily Gobioninae within the family Cyprinidae, are freshwater fish primarily distributed in Northeast Asia. In Korea, three species inhabit the waters: Gobiobotia macrocephala (Korean slender gudgeon), G. brevibarba (Korean shinner), and G. naktongensis (Nakdong slender gudgeon) (Chae et al., 2019; Kim, 1997; Kim et al., 2005). All these species possess characteristic body shapes that are elongated, dorsally convex, and ventrally flattened. They also have four pairs of barbels: one pair at the corners of the mouth and three pairs on the lower jaw (Kim, 1997). These morphological characteristics are highly adapted for exploring riverbed microhabitats, responding to changes in current velocity, and stably attaching to and inhabiting benthic environments.
Among these, G. macrocephala is endemic to Korea, with a restricted distribution in fast-flowing riffle areas with abundant gravel in the mid to upper reaches of the Han and Geum River systems. Notably, it has a well-developed nictitating membrane over its eyes that can adjust to light intensity (Choi et al., 2002; Kim, 1997), which is considered an adaptive mechanism for bright riffle environments. Due to its narrow habitat range and unique ecological characteristics, G. macrocephala is evaluated as a fish species with very high biological and ecological conservation value. Accordingly, the Ministry of Environment designated it as a Specific Wild Animal and Plant in 1996 (ME, 1996) and has protected it as an Endangered Wild Species Class II from 2005 to the present (ME, 2005, 2025). However, despite these conservation efforts, its habitat continues to decrease, and its population remains threatened by ongoing anthropogenic disturbances, such as river improvement projects, dam and weir construction, and the resulting turbidity inflow and changes in riverbed morphology. Therefore, ecological baseline research is urgently required for the maintenance and conservation of G. macrocephala populations.
Previous research on G. macrocephala has primarily focused on its fragmented biological characteristics, including its life history (Choi and Baek, 1972), feeding habits (Choi et al., 2004), and karyotype analysis (Song and Park, 2005). More recently, with the intensification of research on the conservation and restoration of endangered fish species, in-depth ecological studies have been conducted on G. macrocephala and G. brevibarba covering topics such as their habitat status (Ko et al., 2011b), egg development and early life history (Ko et al., 2011a), habitat environment, age, feeding ecology (Ko et al., 2011c), population size estimation (Ko et al., 2012a), and breeding ecology (Ko et al., 2012b).
Based on these previous studies, the present study aimed to comprehensively analyze the population size, age composition, ecological characteristics, and potential growth capability of G. macrocephala, an Endangered Wild Species Class II, in the Pyeongchang River, its primary habitat in Yeongwol. The results of this study are expected to provide important baseline ecological data for the conservation and establishment of effective restoration strategies for G. macrocephala populations.
Materials and Methods
Study Period and Area
This study was conducted using five surveys from September 2022 to April 2023 to understand the seasonal variation patterns of the G. macrocephala population.
∙ 1st Survey: September 2-3, 2022
∙ 2nd Survey: November 8, 2022
∙ 3rd Survey: February 23, 2023
∙ 4th Survey: March 22, 2023
∙ 5th Survey: April 2, 2023
The study area was within the lower reaches of the Pyeongchang River (Seogang) in Yeongwol, which is part of the Namhangang River system and is a major distribution area of G. macrocephala. Four riffle sites were chosen where a high density of the target species was expected to inhabit. The administrative districts and location information for each site are presented in Table 1 and Fig. 1, respectively.
Table 1.
Address and location of each surveyed station in the Pyeongchanggang river, Yeongwol
River Structure and Habitat Environment
The habitat environment was investigated by categorizing it into physical factors, such as bankfull width, wetted width, water depth, stream order, and substrate composition, and chemical factors, including water temperature, dissolved oxygen (DO), and dissolved oxygen saturation.
Bankfull width and wetted width were precisely measured at each survey site using a digital laser rangefinder (Bushnell Sport 600). The bankfull width was determined based on clear indicators of the high-water mark, whereas the wetted width referred to the actual width of the flowing water. Water depth was measured using a 1-m measuring rod. The stream order was classified according to the Strahler method (Strahler, 1957) based on 1:25,000 scale maps. Substrate composition was categorized according to Cummins’ (1962) classification method into boulder (> 256 mm), cobble (64-256 mm), pebble (16-64 mm), gravel (2-16 mm), sand (0.1-2 mm), and silt (< 0.1 mm) and expressed as percentages. Chemical environmental factors were measured and recorded on site using a portable water quality meter (YSI-556MPS). To analyze the statistical significance of the investigated water environment variables at each site and to identify correlations between items, a one-way analysis of variance (ANOVA) was performed. All statistical analyses were performed using R statistical software (R Core Team, 2012).
Population Collection and Analysis
For this study, the capture of G. macrocephala, an Endangered Wild Species Class II, was conducted after obtaining capture permits (Nos. 2022-19 and 2022-44) from the Wonju Regional Environmental Office (Appendix 1). Fish were collected by a quantitative sampling method using both a cast net (mesh size 7 × 7 mm, 14 repetitions) and scoop net (mesh size 4 × 4 mm, for 40 min). Notably, prior approval was obtained from the relevant administrative authority for cast net usage, as it may fall under the “Inland Fisheries Act” (Appendix 2). Captured G. macrocephala individuals were immediately subdued using an anesthetic (MS-222) at the survey site, after which their total length and weight were measured. All patients were safely released immediately upon recovery from anesthesia.
For G. macrocephala populations collected at each survey site, the length frequency was analyzed according to the method described by Ricker (1971) to estimate growth rate and age. Furthermore, a length-weight relationship was derived to analyze changes in the population growth rate. The condition factor (K), an indicator of fish health, was calculated using a Fulton-type formula (Anderson and Neumann, 1996), which can intuitively explain the health status of a population better than general growth expressions. This analysis of fish growth and condition factors serves as a crucial indicator, providing ecological information such as the health status of the population, degree of reproductive capability, quality of habitat environment, and ability to utilize food resources (Anderson and Gutreuter, 1983; Busacker et al., 1990; Ney, 1993).
The von Bertalanffy growth model (von Bertalanffy, 1938) was used to ascertain the potential growth capability of the G. macrocephala populations according to age. Using this model, Brody’s coefficient (k), which represents the growth rate, was estimated. The asymptotic length (L∞), representing the maximum growth value of the population, was calculated using a Walford plot (Walford, 1946). Additionally, the theoretical length at hatching (t0) was applied to the model based on the hatching size of G. macrocephala (4.6 mm), as described by Ko et al. (2011a).
Results and Discussion
Habitat Environment Analysis
The results of the physical environmental factor analysis of the Pyeongchang River survey sites in Yeongwol are presented in Table 2. All study areas corresponded to a 7th-order stream, with bankfull widths ranging from 130 to 250 m, wetted widths from 20 to 130 m, and water depths from 0.1 to 2.0 m. Among the sites, St.1 was the deepest, with a maximum water depth of 2.0 m, and its wetted width was relatively small compared to its bankfull width (bankfull width 130-250 m, wetted width 20-90 m). St.2 and St.3 showed similar characteristics, with bankfull widths of 140-230 m, wetted widths of 30-120 m, and water depths of 0.2-1.5 m. St.4 ranged from 130-200 m in bankfull width, 40-130 m in wetted width, and 0.1-1.8 m in water depth.
Table 2.
Physical environmental factors of each four stations in the Pyeongchanggang river, Yeongwol
Substrate composition varied by site. St.1 and St.4 had the highest proportions of boulders (30% each), whereas St.3 had the lowest (10%). Cobble content was consistently similar across all four sites, ranging from 20% to 25%. Pebbles were the most abundant at St.3 (30%), and gravel was uniformly 20% at all sites. The sand content was lowest at St.1 (5%) and highest at St.3 (15%). Silt was not observed at any of the sites.
These physical characteristics suggest that the Pyeongchang River in Yeongwol is a typical Korean midstream river characterized by its wide breadth, relatively deep water, and riverbed predominantly composed of boulders and cobbles mixed with gravel, finer gravel, and some sand. This environment is considered suitable for the habitation of benthic fishes such as G. macrocephala.
The results of the one-way ANOVA for the water environmental factors at each survey site are presented in Fig. 2. Water temperature ranged from 3.12 to 20.68°C, showing no significant differences among sites. This is likely due to the well-developed riffles and abundant annual flow in the study area, which helps maintain a relatively stable water temperature.

Fig. 2.
The box plots of average values of four water qualities. The boundary of the box closet to zero indicates the 25th percentile, a line within the box marks the median, and the boundary of the box farthest from zero indicates the 75th percentile. Whisker (error bars) above and below the box indicate the 90th and 10th percentile (Chambers et al., 1983).
The pH values were consistently high, exceeding 8.0 at all sites and notably surpassed 9.0 at St.2 and St.3. Generally, a suitable pH range for most freshwater organisms is 6.5 and 8.5. The persistently high pH values in this area, despite being a river with well-developed riffles, suggest the possibility of temporary proliferation of freshwater algae or continuous influence of non-point source pollution. Long-term monitoring and identification of the causative factors are necessary.
Meanwhile, the dissolved oxygen (DO) levels were generally good, with most sites (excluding St.3) showing concentrations of 9.6 mg/L or higher and dissolved oxygen saturation of 86.9% or higher. Overall, the levels were well maintained, with no significant differences among the sites. This provides suitable environmental conditions for inhabiting high-oxygen-demanding fish such as G. macrocephala.
G. macrocephala Population Analysis
A total of 68 individuals of G. macrocephala were identified across the four survey sites in the Pyeongchang River (Table 3). By site, St.3 recorded the highest number of individuals (29 individuals), followed by St.4 (21 individuals), St.2 (13 individuals), and St.1 (5 individuals), indicating an increasing trend towards the downstream areas.
Table 3.
Number of individuals of G. macrocephala in the four stations, from September, 2021 to April, 2023
| Station | 1st | 2nd | 3rd | 4th | 5th | Total |
| St.1 | - | - | - | 4 | 1 | 5 |
| St.2 | - | 6 | - | 7 | - | 13 |
| St.3 | - | 10 | 4 | 8 | 7 | 29 |
| St.4 | - | 8 | 1 | 5 | 7 | 21 |
| Total | - | 24 | 5 | 24 | 15 | 68 |
Examination of the appearance patterns by survey period revealed that G. macrocephala was not observed in September (1st survey). This was presumed to be because of an abrupt increase in water volume after the monsoon season, making access to the survey sites and fish collection impossible. In November (2nd survey), 24 individuals appeared at all sites except St.1. In February (3rd survey), only five individuals were found at the sites, excluding St.1 and St.2, which had the lowest count. In March (4th survey), 24 individuals were observed across all sites, and in April (5th survey), 15 individuals were confirmed at all sites, excluding St.2.
These temporal appearance patterns can be interpreted as the result of a complex interplay between environmental factors (water level and flow) and ecological factors (decreased activity due to temperature changes and movement to specific overwintering habitats). In particular, higher appearance rates at downstream sites may be associated with relatively more stable habitat conditions or richer food sources compared to upstream areas.
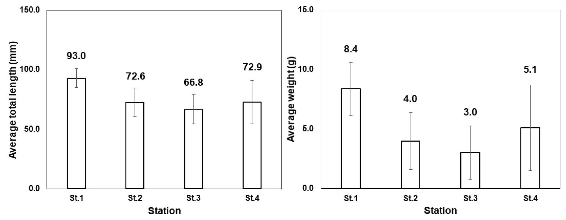
Analysis of the mean total length distribution of G. macrocephala populations at each Pyeongchang River survey site revealed that the largest individuals were found at St.1, with an average total length of 93.0 ± 8.1 mm. Conversely, average total length tended to decrease towards downstream sites, with St.4 (72.9 ± 18.3 mm), St.2 (72.6 ± 12.0 mm), and St.3 (66.8 ± 12.3 mm) following in descending order. Mean weight also showed a similar pattern to mean total length, being highest at St.1 (8.4 ± 2.2 g), followed by St.4 (5.1 ± 3.6 g), St.2 (4.0 ± 2.4 g), and St.3 (3.0 ± 2.2 g) (Fig. 3).
Analysis of the relationship between total length and weight indicated a growth rate of 3.36 for the G. macrocephala population, suggesting a favorable growth status. Furthermore, the trend line for the condition factor exhibited a positive slope, confirming the good overall nutritional status of the population (Fig. 4).
These results imply a close relationship between the physical habitat environment, including substrate composition and current velocity, at each site. Specifically, upstream sites such as St.1, which are characterized by a high proportion of boulders and deeper waters, provide suitable refuges (and potentially spawning grounds) for larger individuals, which may be linked to the higher mean length and weight observed at these sites. Overall, the G. macrocephala population in the Pyeongchang River appears to have environmental conditions suitable for growth and reproduction. In particular, upstream sites seem to offer environments conducive to the growth and spawning of larger individuals, whereas downstream sites appear to be more favorable for the habitation and density maintenance of younger populations.
Age Distribution and Potential Growth Capability
The total length range of the G. macrocephala population in Pyeongchang River was found to be 38-105 mm, with a mean total length of 72.3 ± 15.7 mm. Based on the analysis of length frequency distribution, age was estimated as follows: individuals with total lengths of 38-50 mm were classified as young-of-the-year (YOY), 51-80 mm as one-year-olds, and 81 mm or more as two-year-olds or older (Fig. 5). This classification of total length by age aligns well with the growth characteristics of this species, as reported by Kim (1997) (approximately 27 mm at two months post-hatching, 40-60 mm at one year, and 80-100 mm at two years).
A comparison of the length frequency distribution across each survey site (Fig. 6) revealed that at St.1, all five individuals observed ranged from 84 to 105 mm in total length, confirming them as two-year-olds or older. St.2 had a total length of 58-95 mm, with a mix of one-year-olds (nine individuals) and two-year-olds or older (four individuals). St.3 had the most diverse age classes, with a total length range of 40-98 mm, including one YOY, 24 one-year-olds, and four two-year-olds or older. St.4 had a total length range of 38-102 mm, comprising two YOY, ten one-year-olds and nine two-year-olds or older.
These results indicate a tendency for the size and age composition of G. macrocephala individuals to diversify from St.1 to St.4. This can be interpreted as the fact that the substrate composition of upstream St.1, primarily consisting of boulders and cobbles, provides suitable refuge for relatively larger individuals, while the comparatively fast current limits the inhabitation of smaller YOY individuals. Conversely, downstream sites with a more diverse distribution of pebbles and gravel offer an environment suitable for inhabiting various age classes. Individuals aged one year or older were observed at all survey sites, suggesting relatively broad adaptability to different habitat environments.
The potential growth capability of an organism is characterized by a high growth rate in its early and middle stages, which gradually slows down in later stages until it reaches a maximum asymptotic size. The Von Bertalanffy growth model (von Bertalanffy, 1938) is suitable for estimating this pattern (Choi et al., 2006).
In this study, to evaluate the growth capability of the G. macrocephala population, age classes were categorized using length frequency distribution, and the von Bertalanffy growth model was applied to population growth across each age class. Consequently, population age was categorized into four classes. The asymptotic length (L∞) calculated through the model was 149.5 mm, and the Brody coefficient (k), representing the instantaneous growth rate, was -0.30 (Fig. 7).
In summary, the G. macrocephala population inhabiting the Pyeongchang River in Yeongwol consisted of individuals of various sizes, exhibiting good growth status and high potential growth capability, suggesting that it maintains a relatively stable population. These results serve as important comparative data for future ecological studies of this species in other regions. However, certain environmental factors, such as high pH, pose a potential threat to the survival of G. macrocephala, requiring more diligent and continuous monitoring. In particular, the temporary access road for vehicles identified at St.1 might have caused fatal physical disturbances to this species and other benthic fishes. Therefore, urgent practical measures to prevent such anthropogenic disturbances are necessary for the long-term conservation of G. macrocephala populations.










