-
Review Article

- Sediment Management Plan to Control Algal Blooms in the Yeongsan and Seomjin River Basin Reservoirs
- Yejin Choi, Hyuk-Jin Cho, Ju-Tae Song, Jong-Un Lee, Dae-Sung Song
- Small-scale agricultural reservoirs are essential infrastructure for local communities, especially under intensifying water scarcity. In this study, we classified contaminated sediments derived …
- Small-scale agricultural reservoirs are essential infrastructure for local communities, especially under intensifying water scarcity. In this study, we classified contaminated sediments derived from algal blooms that deteriorate water quality based on samples from 39 reservoirs of the Yeongsan and Seomjin River basins, and proposed management strategies. Two years of water quality and sediment monitoring data were analyzed, and sediments were categorized into four types using the carbon-to-nitrogen (C/N) ratio and Korean-type trophic state index (TSIko). Reservoirs were grouped as Types I (endogenous production, 11 sites), II (external inflow, one site), III (potential eutrophication, 23 sites), and IV (continuous management, four sites). Specific management measures were suggested: dredging, capping, and oxidation for Type I; identification of the pollution source, watershed governance, and upstream algae control for Type II; sediment management and expansion of bloom reduction facilities for Type III; and continuous monitoring for Type IV. To quantify the effects of sediments on water quality, a leaching test method simulating field conditions and material balance model were recommended. These findings provide a framework for targeted sediment management and are expected to support practical measures for improving reservoir water quality in the Yeongsan and Seomjin River basins. - COLLAPSE
-
Research Article

- Effect of LED Light Quality on Melon Seedlings Based on Growth and Photosynthetic Performances in a Closed-Type Production System
- Yong Beom Kwon, Ju Hyeon Lim, Joo Hwan Lee, Ah Young Shin, Yu Jin Kang, Jeong Eun Sim, Junho Park, In-Lee Choi, Yongduk Kim, Jidong Kim, Ho-Min Kang
- Climate variability challenges conventional melon seedling production through unstable temperature and light conditions during critical nursery stages. Closed-type systems with light-emitting diodes …
- Climate variability challenges conventional melon seedling production through unstable temperature and light conditions during critical nursery stages. Closed-type systems with light-emitting diodes (LEDs) enable precise environmental control; however, optimal spectral composition must be evaluated by integrating morphological quality and physiological performance. This study compared five LED spectra (Blue, Blue+Red, Red, Blue+Wide-Red+Far-Red, and White) on melon (Cucumis melo L. cv. ‘Haniwon’) seedlings grown for 28 days in a closed-type system under 300 µmol・m-2・s-1 PPFD, 16 h photoperiod, and 30/20°C day/night temperature. Growth, seedling quality indices, vegetation indices, and chlorophyll fluorescence parameters were evaluated. Red light induced excessive stem elongation, reduced compactness, and increased shoot-to-root ratios. This was accompanied by inefficient energy utilization characterized by elevated dissipation per reaction center, indicating unsuitability for commercial seedling production. In contrast, Blue and Blue+Red treatments improved structural quality by suppressing elongation and increasing stem diameter while maintaining balanced biomass allocation. White LED produced comparable morphological quality to blue-enriched spectra but demonstrated superior photosystem II functionality, as shown by the highest PRI and performance index on absorption basis (Pi_Abs). Principal component analysis separated seedling quality into two distinct dimensions: PC1 (67.7%) representing growth-related traits and PC2 (18.1%) representing photosynthetic capacity. Although White and blue-enriched treatments showed similar PC1 scores, White LED achieved markedly higher PC2 values, indicating enhanced physiological performance independent of morphological characteristics. These results indicate that optimal LED selection for closed-type melon seedling production should integrate morphological regulation with photosynthetic efficiency, with White LED offering the most balanced combination to support robust transplant establishment under variable climate conditions. - COLLAPSE
-
Research Article

- Bioassay based Korean Diamides Resistance Status and Management Strategy of Spodoptera exigua (Lepidoptera: Noctuidae)
- Minyoung Choi, Minseop Noh, Dongjun Park, Hyeokchan Kwon, Juil Kim
- Diamide insecticides have been widely used to control lepidopteran pests due to their high efficacy and selectivity, but their intensive and prolonged …
- Diamide insecticides have been widely used to control lepidopteran pests due to their high efficacy and selectivity, but their intensive and prolonged use has led to the development of resistance in Spodoptera exigua populations in Korea. This study investigated the current status of resistance to chlorantraniliprole in S. exigua, examined potential cross-resistance with flubendiamide, and assessed the inheritance pattern of resistance using hybrid strains. Field populations were collected from 19 locations between 2014 and 2022, and bioassays were conducted with 22 insecticides. Resistance ratios (RRs) were calculated based on the LC50 of a susceptible strain, and F1 and F2 hybrids were generated through reciprocal crosses. The results showed high resistance levels to chlorantraniliprole and flubendiamide, particularly in populations from Yeoju, Jindo, and Gangneung. F2 hybrids exhibited an average mortality rate of only 35.6%, indicating stable inheritance of resistance. Moreover, no statistically significant differences were observed between reciprocal crosses, suggesting that resistance is inherited in an incomplete dominant manner and is likely located on an autosome. While molecular analyses were not performed in this study, previous research has indicated that overexpression of CYP9A40 may play a more critical role in resistance than known RyR mutations such as I4790M. These findings highlight the urgent need for insecticide resistance management (IRM) strategies, including the rotation of insecticides with different modes of action, the use of molecular diagnostics such as LAMP and qRT-PCR for field monitoring, and the integration of alternative compounds like meta-diamides and isoxazolines. A resistance-informed integrated pest management (IPM) approach will be essential to ensure sustainable and effective control of S. exigua. - COLLAPSE
-
Research Article

- Expression Profiling of Sugar-Starch Pathway Genes in Waxy Maize with Contrasting Sucrose Content
- Ki-Beom Kim, Mayur Mukut Murlidhar Sharma, Yeri Park, Joeng-Heon Han, Si-Hwan Ryu, Kyong-Cheul Park, Nam-il Park
- Waxy maize (Zea mays L.) is valued for its amylopectin-rich sticky texture, but kernels typically accumulate low levels of soluble sugars …
- Waxy maize (Zea mays L.) is valued for its amylopectin-rich sticky texture, but kernels typically accumulate low levels of soluble sugars compared with sweet corn. To identify gene-expression features associated with naturally higher sweetness in waxy backgrounds, we quantified soluble sugars in developing kernels and profiled transcription of key sucrose-starch pathway genes. Soluble sugars (sucrose, glucose, and fructose) were quantified by high-performance liquid chromatography (HPLC) from kernels harvested 21 days after pollination (DAP) from 58 waxy inbred lines classified into kernel-color groups (BS, CS, YS, RS, and S), with sweet-corn cultivars included as high-sugar references. Within waxy groups, YS and RS consistently showed higher mean sucrose than BS lines across years, while RS also maintained relatively higher glucose and fructose. For expression analysis, 20 contrasting genotypes (two low- and two high-sucrose lines per group) were selected and transcript abundance of 25 pathway genes was measured by quantitative real-time PCR (qRT-PCR) in endosperm and embryo tissues. Most genes showed higher transcript abundance in endosperm than embryo. Among functional gene categories, starch branching enzyme genes exhibited the clearest association with sucrose differences: endosperm expression of starch branching enzyme I (SBEI) increased in high-sucrose cultivars across both years, whereas SBEIIa (amylose extender1) and SBEIIb displayed group-dependent and often complementary patterns. These results highlight natural variation in downstream starch-assembly genes as a plausible lever to fine-tune sugar retention in waxy kernels, providing candidate targets and germplasm resources for breeding moderately sweeter waxy maize without the severe starch penalties of classical sweet-corn mutants. - COLLAPSE
-
Research Article

- Anti-Inflammatory Effects of Kobophenol B Isolated from Carex pumila Thunb. in a DSS-Induced Colitis Mouse Model
- Mi-Ra Lee, Bohye Kim, Hee-Jun Kim, Sangmi Jung, Moonjin Ra, Yongjun Lee
- The Cyperaceae family comprises a wide range of medicinal plants known for synthesizing diverse bioactive compounds that facilitate adaptation to extreme environments. …
- The Cyperaceae family comprises a wide range of medicinal plants known for synthesizing diverse bioactive compounds that facilitate adaptation to extreme environments. Kobophenol B (KPB), a naturally occurring tetrastilbene, was isolated from the aerial parts of Carex pumila Thunb. In this study, we investigated the anti-inflammatory effects of KPB using in vitro and in vivo models of inflammatory bowel disease (IBD). The identity and purity of KPB were confirmed by high-performance liquid chromatography, high-resolution mass spectrometry, and nuclear magnetic resonance spectroscopy. In HT-29 intestinal epithelial cells, KPB significantly inhibited dextran sulfate sodium (DSS)- or tumor necrosis factor-α (TNF-α)-induced reactive oxygen species generation and interleukin-8 secretion without causing cytotoxicity. A DSS-induced colitis model was established by administering 2.5% DSS in drinking water for 5 days. KPB was orally administered at doses of 10 and 100 mg/kg for 14 days. Compared with normal control mice, DSS-treated mice exhibited marked body weight loss, diarrhea, bloody stools, colon shortening, and elevated disease activity index scores. In contrast, KPB administration significantly ameliorated these clinical manifestations, alleviating splenomegaly and reducing colon weight per unit length. Additionally, KPB treatment led to marked decreases in the levels of inflammatory cytokines, including IL-6 and IL-22. Overall, these results demonstrate that KPB exerts protective effects in a DSS-induced colitis model and highlight its potential as a promising natural product-derived therapeutic candidate for the management of IBD. - COLLAPSE
-
Research Article

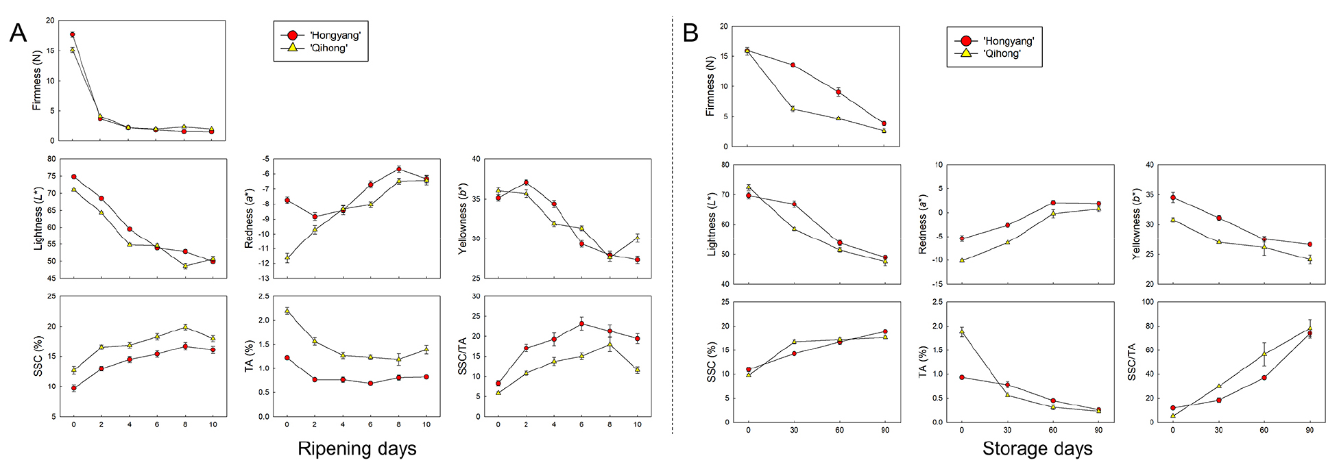
- Prediction of Ripening Stage and Key Physicochemical Quality Parameters in Red-Fleshed Kiwifruits using VNIR Spectroscopy
- Jung Min Baek, Min Woo Baek, Shimeles Tilahun, Jong Hwan Lee, Se Min Chang, Ju Hyeon Lee, DoSu Park, Cheon Soon Jeong
- Red-fleshed kiwifruit has attracted increasing consumer interest, but cultivar-dependent ripening and conventional destructive measurements limit routine eating-quality assessment. This study developed visible-near …
- Red-fleshed kiwifruit has attracted increasing consumer interest, but cultivar-dependent ripening and conventional destructive measurements limit routine eating-quality assessment. This study developed visible-near infrared (VNIR) spectroscopy-based prediction models for key maturity indices in two commercially important red kiwifruit cultivars, ‘Hongyang’ and ‘Qihong’. Fruit were monitored during ripening at ambient conditions to generate a wide range of maturity stages, and an independent set was stored under cold conditions for external evaluation. VNIR spectra (400-1100 nm) were acquired from four orientations per fruit and combined with reference measurements of firmness, soluble solids content (SSC), titratable acidity (TA), SSC/TA ratio, and internal flesh color parameters (L*, a*, b*). Several preprocessing strategies (mean normalization, SNV, MSC, and Savitzky-Golay derivatives) were compared, and partial least squares regression (PLSR) models were developed and evaluated using calibration, cross-validation, and prediction statistics. Ripening parameters showed clear statistical relationships, with firmness negatively correlated with SSC and TA inversely associated with the SSC/TA ratio, indicating that multiple correlated traits can be combined to better characterize ripening status. PLSR models provided reliable prediction for firmness and SSC in both cultivars, whereas TA and SSC/TA ratio exhibited reduced robustness. Among color variables, L* showed the most stable prediction performance, while a* and b* were more cultivar-dependent. Overall, VNIR spectroscopy coupled with PLSR enables rapid, non-destructive estimation of maturity-related quality attributes in red-fleshed kiwifruit, with cultivar-specific calibration improving model stability and supporting practical application for postharvest monitoring and grading. - COLLAPSE
-
Research Article

- Encapsulation of Coenzyme Q10 using OSA Starch and Surfactant: Implications for Storage Stability and Pharmacokinetic Profile
- Da Hui Kim, Jin Hyeok Choi, Eun Hee Jang, Jong-Yea Kim
- In this study, we developed a nano-encapsulation system using three types of octenyl succinic anhydride (OSA)-modified starches as wall materials to enhance …
- In this study, we developed a nano-encapsulation system using three types of octenyl succinic anhydride (OSA)-modified starches as wall materials to enhance the solubilization and delivery efficiency of Coenzyme Q10 (CoQ10). The OSA starches were categorized into high-viscosity (Sunfree) and low-viscosity (Purity Gum Ultra and EMCAP) groups. Low-viscosity carriers achieved superior particle uniformity with hydrodynamic diameters ranging from 225 to 240 nm. Specifically, Purity Gum Ultra exhibited exceptional solubilization capacity, maintaining nearly 100% solubility up to a CoQ10 concentration of 30 mg/mL. The starch-based encapsulation provided a robust interfacial barrier that effectively protected the CoQ10 core against chemical degradation under severe thermal stress (60-100°C) and across a wide pH range (3.0-9.0). Pharmacokinetic evaluation in a rat model revealed that the Purity Gum Ultra-based nano-capsules significantly enhanced systemic exposure, achieving an 8.48-fold increase in relative bioavailability compared to crystalline CoQ10. - COLLAPSE
-
Research Article

- Estimating Vegetable Demand Elasticities in the Philippines: Implications for Crop Programming and Dumping Control
- Lily Anne Kibiten Na-oy, Youngjune Kim
- Vegetable dumping remains a persistent issue in the Philippine agriculture resulting to huge wastage, and unstable market conditions. To address this recurring …
- Vegetable dumping remains a persistent issue in the Philippine agriculture resulting to huge wastage, and unstable market conditions. To address this recurring challenge, particularly through crop programming, this study estimates the demand elasticities of the usually dumped vegetables in the Philippines using the lagged-price Linear Approximation of the Almost Ideal Demand System (LA-AIDS). The study utilized secondary data on national quarterly consumption and quarterly retail price data from 2010-2024 to compute for expenditure and price elasticities. Results indicate that most vegetables exhibit inelastic own-price elasticities. Substitution and complementary relationships among the vegetables are also identified. Also, most vegetables under study are found to be luxury. These demand elasticities provide useful demand-side indicators for informing crop programming strategies. When these elasticities are paired with the supply-side information, it can support efforts to better align production with market demand, which may help reduce risk of dumping and helps attain sustainable and improve resiliency of the vegetable sector of the Philippines. - COLLAPSE


Journal of Agricultural, Life and Environmental Sciences







