서 론
가시고기는 큰가시과목(Gasterosteiformes) 큰과시고기과(Gasterosteidae)에 속하며 국내에는 가시고기와 잔가시고기(Pungitius kaibarae) 2종만이 출현하는 것으로 알려져 있다. 가시고기의 생태로는 담수에 살고, 하천 중·하류의 물이 맑고 찬 곳에서 서식하며, 흐름이 느리거나 정체된 수초가 많은 곳에 산란한다고 알려져 있다. 산란기는 4-8월로 추정되나 정확한 산란 생태에 대해 알려진 바가 없으며, 무분별한 하상 공사와 골재 채취 및 물 오염으로 서식지가 파괴되어 급격하게 감소하고 있다(NIBR, 2018). 과거 동해로 흐르는 여러 하천에 연속적으로 분포했으나, 서식지가 급격하게 감소해 점유 면적 500 km2 이하의 8개 지역에서만 출현하고 있어, 국가 적색 목록 평가에서 취약 단계인 VU B2ab(i, ii, iii, iv)로 평가받았다(NIBR, 2011). 과거 30년 동안 23개의 하천에 출현한 가시고기(P. sinensis)는 현재 12개의 하천에만 출현하는 등(Ko, 2016) 서식지가 줄어들고 있으며 2005년, 2007년, 2017년 그리고 2022년도 꾸준히 멸종위기 야생생물로 지정되어 많은 관심을 요하고 있다. 현재 가시고기(P. sinensis)에 대한 연구로는 피부 및 멜라닌 색소포(Youn et al., 2002), 성적 이형(Chae and Yang, 1990a), 인판의 지리적 변이(Chae and Yang, 1989), 형태변이와 핵형(Kim et al., 1989), 자연잡종(Chae and Yang, 1990b), 분자 계통학적 연구(Yang and Min, 1990) 등 형태적 유전학적 차이에 관한 연구가 이루어졌다. 외국에서 이루어진 연구 또한 지리적 분포에 따른 형태의 차이(Takata et al., 1984), 분류(Keivany and Nelson, 2000), 가시고기 속(Pungitius) 내의 형태의 차이(Tanaka, 1982), 유전자 특성화(Cao and Cheng, 2020) 등에 관한 연구가 주를 이루었다. 가장 최근에 이루어진 연구 또한 2016년 분포현황에 관한 연구(Ko, 2016)로, 서식지와 개체군 생태에 관한 연구는 부족한 것이 실정이다. 본 연구지인 소양강은 강원도 인제군 서화면 무산에서 발원하여 북한강과 합류하는 길이 166.2 km의 강으로 본래 소양호와 인근 지류에서는 가시고기(P. sinensis)가 출현하였다는 기록이 존재하지 않았으나 본 연구에서 다량 채집되어 한강(고황하)수계에서 최초 출현이며 매우 특별한 경우로 보인다. 과거 고아무르강 수계인 영동 수계 21개 하천에서 가시고기(P. sinensis) 854개체를 채집했다(Ko, 2016)는 사실을 고려한다면 본 연구는 매우 고무적이다. 특히 고아무르강 수계(영동지방)가 아닌 고황하강 수계(영서지방)에서 가시고기(P. sinensis)가 우점하며 채집된 경우는 매우 이례적이다. 담수어류는 물을 따라 이동하고 분포하기에(Yoon et al., 2018) 쉽게 교란될 수 있으며(Toft et al., 2018) 복원 또한 어려운 특징을 가진다(Baron et al., 2002). 따라서 아무르강 수계 어종이 황하강 수계에 출현한 것은 자연적 또는 인위적 교란과 가시고기 서식지의 변화 가능성을 시사한다(Ricciardi and Rasmussen, 1999). 특히나 냉수성 어류에게 있어 서식지의 변화는 생존과 직결되는 문제이기에 위와 같은 독특한 현상은 연구될 필요성이 있다고 판단했다. 따라서 본 연구는 가시고기(P. sinensis) 개체군의 전장, 체중, 성장도, 비만도 그리고 연령분포 등의 개체군 분석을 통해 개체군의 생육상태 및 안정적인 정착 여부와 공서 어종을 파악하고자 하였으며 멸종위기종 보전 및 보호를 위한 기초데이터로 활용하고자 하였다.
조사 및 방법
어류 조사지점은 가시고기(P. sinensis)가 처음 발견되었던 지점과 서식지로 선호한다 알려진 하천의 하류를 중점적으로 가능한 여울(riffle), 소(pool), 흐르는(run) 곳을 포함하는 장소(Fig. 1, Table 1)로 선정하였다(Chae, 1988; Choi et al., 2002; NIER, 2016).
Table 1.
Coordinates of the study sites
멸종위기종의 서식지 보호를 위해 최소 2개월의 간격을 두고 봄, 여름, 가을 계절별 1회 조사를 실시하였으며 2022년 5월부터 2022년 11월까지 총 3회 실시하였다. 안정된 수환경을 위해 강우 전후를 제외한 소양강 댐의 수문이 개방되는 12시 이전에 조사를 실시하였다(Table 2).
재료 및 방법
채집 및 동정
채집 및 계측은 2021년 원주지방환경청(제2021-31호)의 허가를 받아 조사를 시행하였다. 어류는 족대(망목 5 mm × 5 mm)를 이용하여 조사했으며, 생물측정망 조사 및 평가지침(NIER, 2016)에 따라 1시간 정량조사하였다. 채집된 어류는 가능한 현장에서 바로 동정하였으며 MS-222로 마취를 하고 계측 후 방사하였다. 어류의 동정은 국내에서 발표된 검색표(Choi et al., 2002; Kim and Park, 2007)를 이용하였으며 분류체계는 Nelson(1994)을 따랐다.
서식지 환경
서식지 환경은 물리적 환경과 물환경을 조사하였다. 물리적 환경 중 하폭과 유폭은 위성지도(Google earth, USA)를 이용하였다. 하천 차수는 25,000:1 지도를 이용하여 Strahler(1957)의 방법에 따라 산정하였고 하상 구조는 Cummins(1962)에 의거하여 현장에서 측정하였다. 물환경 요인 중 전기전도도(Conductivity), 수온(Temperature), 용존산소(DO)는 수질 측정기(YSI 556 MPS(USA))를 사용하여 현장에서 바로 측정하였다.
개체군 분석
가시고기(P. Sinensis) 개체군의 생육 상태와 섭식 능력을 파악하기 위해 성장도와 비만도 분석을 시행하였다. 아래의 식으로 계산된 개체군의 회귀계수 값은 성장도를 의미하며, 회귀계수 b 값이 3.0 전장에 비례해 개체가 성장하지 못하였음을 의미하며 b 값이 3.0을 넘어갈 때 개체군의 성장이 양호함을 의미한다. 성장도는 Pauly(1984)의 방법을 사용하였으며 식은 다음과 같다.
W: 체중
TL: 전장
a: 상수
b: 회귀계수 값
전장-체중 관계식과 함께 어류의 건강성을 평가하는 방법의 하나인 비만도 지수(Condition factor, K)는 Fulton-type 비만도 지수(K)를 이용하였고 그 식은 다음과 같다(Anderson and Neumann, 1996).
K: 비만도
TW: 체중
TL: 전장
n: 전환상수
결 과
어류상 및 공서어종
본 조사 결과, 총 11과 20종 2,598개체가 채집되었다(Table 3). 조사지점 중 1 지점이 11종 1,195개체가 출현하여 가장 많은 종과 개체 수가 출현하였고 2지점에서 7종 630개체로 가장 적은 종수와 개체가 채집되었다. 모든 지점에서 가시고기(P. sinensis)가 우점하는 것으로 나타났으며 1지점에서는 브라운송어(Salmo trutta)가, 2지점에서는 쌀미꾸리(Lefua costata)가 3번 지점에서는 참붕어(Pseudorasbora parva), 피라미(Zacco platypus), 배스(Micropterus salmoides), 그리고 빙어(Hypomesus nipponensis) 모두 3개체로 아우점하였다. 출현 어종 중 법정보호종은 멸종위기종 Ⅱ급 가시고기(P. Sinensis)가 출현하였고, 한국 고유종은 긴몰개(Squalidus gracilis majimae), 참종개(Iksookmia koreensis) 2종이 출현하였다. 외래도입종은 배스(M. salmoides), 블루길(Lepomis macrochirus), 브라운송어(S. trutta), 이스라엘잉어(Cyprinus carpio nudus) 4종이 출현하였다. 출현한 어종의 비교 풍부도를 비교한 결과, 가시고기(P. sinensis)가 2,522개체로 97.07%를 차지하며 우점하였고 다음으로 브라운송어(S. trutta)가 19개체로 0.73%, 쌀미꾸리(L. costata)가 12개체로 0.46%를 차지하였다. 비교 풍부도 0.5% 미만인 종들은 참붕어(Pseudorasbora parva), 이스라엘잉어(C. nudus), 긴몰개(S. majimae), 피라미(Z. platypus), 돌고기(Pungtungia herzi), 붕어(Carassius auratus)등 17종으로 전체 중 1.74%를 차지하였다.
Table 3.
Fauna of fishes collected in the Soyang River
| Scientific name | Korean name | Station | Total | RA (%)* | **Remarks | ||
| 1 | 2 | 3 | |||||
| CYPRINIDAE | 잉어과 | ||||||
| Carassius auratus | 붕어 | 1 | 1 | 0.04 | |||
| Cyprinus carpio nudus | 이스라엘잉어 | 1 | 1 | 0.04 | Ex | ||
| Pseudorasbora parva | 참붕어 | 2 | 3 | 5 | 0.19 | ||
| Pungtungia herzi | 돌고기 | 1 | 1 | 0.04 | |||
| Squalidus gracilis majimae | 긴몰개 | 3 | 3 | 0.12 | E | ||
| Zacco platypus | 피라미 | 3 | 3 | 6 | 0.23 | ||
| COBITIDAE | 미꾸리과 | ||||||
| Iksookimia koreensis | 참종개 | 5 | 5 | 0.19 | E | ||
| Misgurnus anguillicaudatus | 미꾸리 | 3 | 3 | 0.12 | |||
| BALITORIDAE | 종개과 | ||||||
| Lefua costata | 쌀미꾸리 | 1 | 11 | 12 | 0.46 | ||
| Orthrias nudus | 대륙종개 | 1 | 1 | 0.04 | |||
| SILURIDAE | 메기과 | ||||||
| Silurus asotus | 메기 | 1 | 1 | 0.04 | |||
| OSMERIDAE | 바다빙어과 | ||||||
| Hypomesus nipponensis | 빙어 | 4 | 3 | 7 | 0.27 | ||
| SALMONIDAE | 연어과 | ||||||
| Salmo trutta | 브라운송어 | 19 | 19 | 0.73 | Ex | ||
| ADRIANICHTHYOIDAE | 송사리과 | ||||||
| Oryzias sinensis | 대륙송사리 | 1 | 1 | 0.04 | |||
| GASTEROSTEIDAE | 큰가시고기과 | ||||||
| Pungitius sinensis | 가시고기 | 1158 | 607 | 757 | 2522 | 97.07 | EnII |
| CENTRACHIDAE | 검정우럭과 | ||||||
| Lepomis macrochirus | 블루길 | 1 | 1 | 0.04 | Ex | ||
| Micropterus salmoides | 배스 | 2 | 3 | 5 | 0.19 | Ex | |
| ODONTOBUTIDAE | 동사리과 | ||||||
| Odontobutis interrupta | 얼룩동사리 | 1 | 1 | 0.04 | |||
| GOBIIDAE | 망둑어과 | ||||||
| Gymnogobius urotaenia | 꾹저구 | 1 | 1 | 0.04 | |||
| Rhinogobius brunneus | 밀어 | 2 | 2 | 0.08 | |||
| Number of family | 8 | 5 | 5 | 11 | |||
| Number of species | 11 | 7 | 9 | 20 | |||
| Number of individuals | 1195 | 630 | 773 | 2598 | |||
서식지 환경
소양강의 서식지 환경을 분석한 결과는 다음과 같다(Table 4, Table 5). 물리적인 환경요인 중 하나인 하상 구조를 조사한 결과, 전체적으로 모래와 잔자갈이 주를 이루었다. 소양강의 하폭과 유폭을 조사한 결과, 소양강 2번 지점은 하폭 350-500 m, 유폭 150-400 m의 범위로 가장 넓은 하폭을 보여주었다. 소양강 3번 지점은 하폭 350-400 m, 유폭 300-350 m로 가장 넓은 유폭을 보여주었다. 1:25,000의 축척으로 차수를 조사한 결과, 소양강 모든 지점은 7차 하천으로 나타났다. 수온의 경우, 1차 조사 평균 9.4°C, 2차 조사 평균 16.38°C, 3차 조사 평균 13.26°C였다. 그 외 전기전도도, 염도, 용존산소, 수소 이온 농도 지수는 일반적인 하천과 유사한 특징을 보여주었다.
Table 4.
Physical environment factors measured in the Soyang River
| Sites | River width (m) | Water width (m) | Water depth (m) | Stream order | *Bottom structure (%) | |||||
| M | S | G | P | C | B | |||||
| 1 | 200-350 | 150-200 | 0.2-1.1 | 7 | 15 | 30 | 30 | 20 | 5 | |
| 2 | 350-500 | 150-450 | 0.3-1.0 | 7 | 20 | 35 | 35 | 10 | ||
| 3 | 350-400 | 300-350 | 0.3-1.1 | 7 | 10 | 30 | 35 | 20 | 5 | |
*Cummins(1962): M(mud, 0.1 mm <), S(sand, 0.1-2 mm), G(gravel, 2-16 mm), P(pebble, 16-64 mm), C(cobble, 64-256 mm), B(boulder .> 256 mm)
Table 5.
Water environment factors measured in the Soyang River
가시고기 개체군 분석
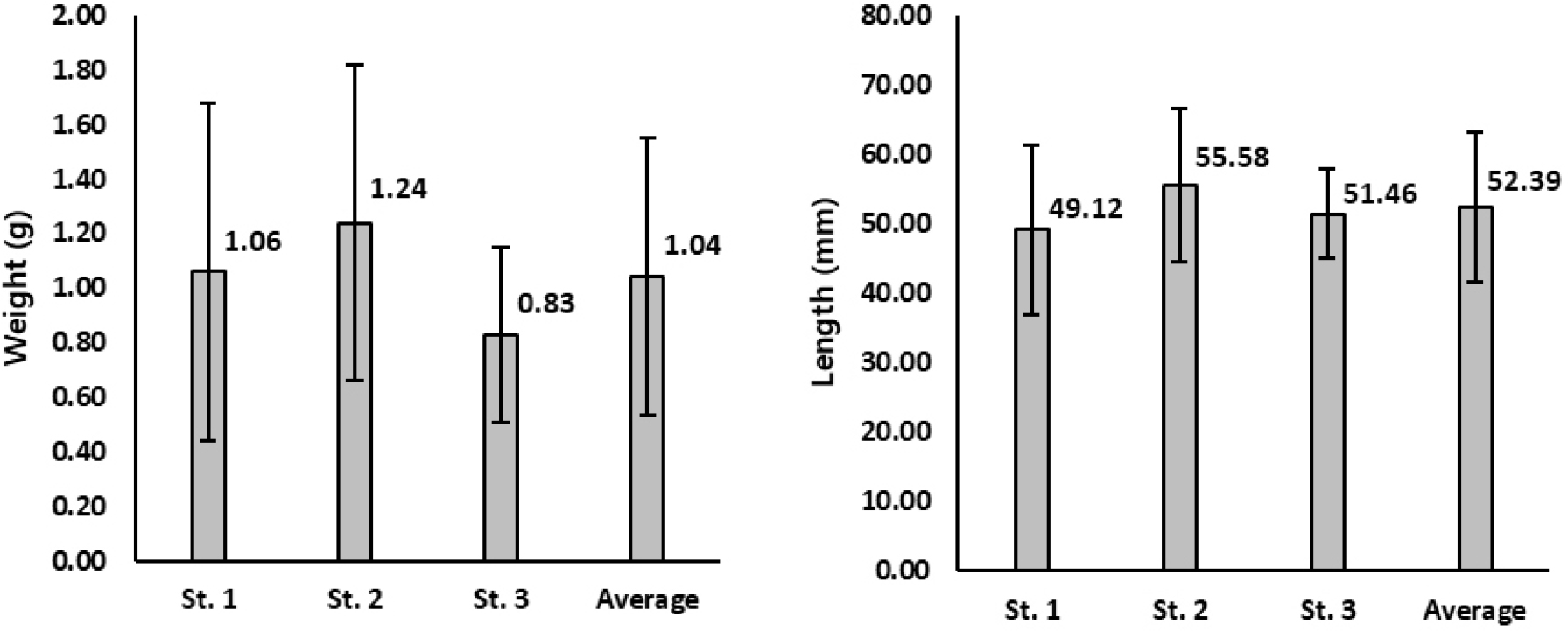
소양강 가시고기(P. sinensis)의 무게와 길이를 조사한 결과는 다음과 같다(Fig. 2). 지점별 평균 무게는 St. 2에서 1.24 g으로 가장 높았으며 St. 3에서 0.83 g으로 가장 낮았다. 전체 평균은 1.04 g로 나타났다. 지점별 평균 길이는 St. 2에서 56.58 mm로 무게와 같이 가장 높은 수치를 기록하였다. St. 1에서 49.12 mm로 가장 낮은 수치를 보여주었다. 전체 길이 평균은 52.39 mm로 나타났다.
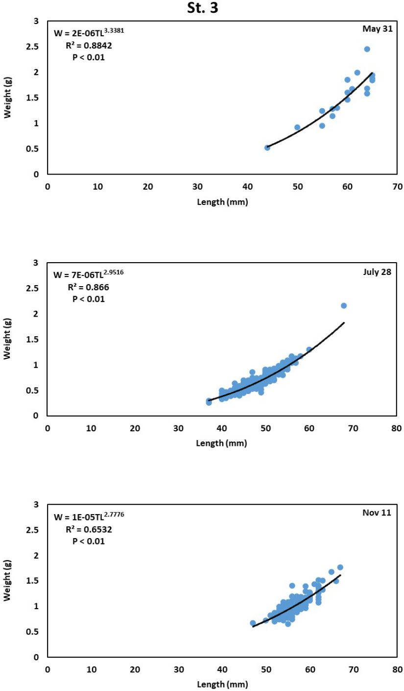
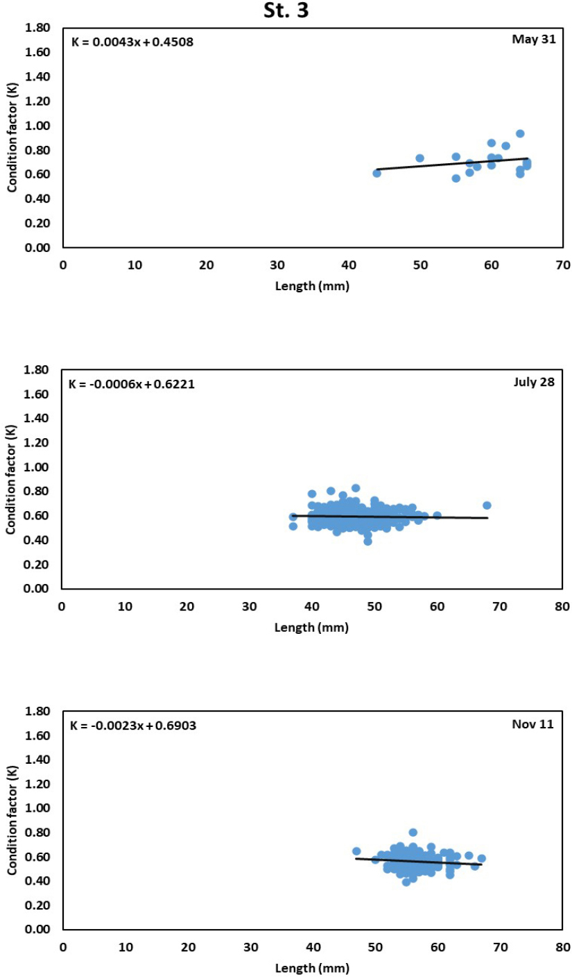
개체군의 비만도와 성장도를 분석한 결과는 다음과 같다(Fig. 3, Fig. 4, Fig. 5, Fig. 6, Fig. 7, Fig. 8, Fig. 9, Fig. 10). 전체 성장도 3.0 미만, 비만도 음(-)의 값으로 다소 낮은 갚을 보여주었으나 조사 시기와 지점에 따라 성장도 최대 약 4.01, 비만도 기울기가 0.0062로 양(+)의 값이 나타나는 등 급속한 생장을 보여 지속적인 관찰을 요구하였다.
가시고기 개체군 연령분포
연령분포를 분석한 결과는 다음과 같다(Fig. 5). 당년생(0+) 20-32 mm, 만 1년생(1+) 28-54 mm 만 2년생(2+) 42-74 mm로 확인되었으며 만 3년생(3+) 개체도 소수 발견되었다. 만 2년생(2+) 개체가 가장 많이 나타났으며 당년생(0+)과 만 1년생(1+), 만 2년생(2+)이 골고루 나타나 안정적인 개체군을 보여주었다(Fig. 11, Fig. 12, Fig. 13, Fig. 14).
고 찰
소양강의 어류상을 확인한 결과 총 20종의 어종이 출현하였으며 가시고기(P. Sinensis)와 공서하는 어종은 19종인 것으로 파악되었다. 공서어종 중 빙어(H. nipponensis), 브라운송어(S. trutta)같은 냉수성 어종(Hong et al., 2023)이 다수 확인되었고 가시고기가 채집된 다른 하천의 수온과 비교하였을 때 평균적으로 낮은 수온을 보여(Fig. 15) 냉수성 생태계가 형성되어 있음을 보였다. 상대풍부도는 가시고기(P. sinensis)가 97.07%로 우점하는 것으로 나타났으며, 가시고기(P. sinensis)와 브라운송어(S. trutta) 이외의 어종들은 상대풍부도 기준 2.93%로 매우 낮은 출현율을 보였다. 우리나라의 고유 하천 중 가시고기(P. sinensis)가 우점하는 하천은 보고된 바가 없기에 이러한 결과는 소양강만의 독특한 현상으로 판단된다.
어류는 체온 조절 능력이 없는 변온 동물로 수온의 변화에 민감하며(Welch et al., 2004; Wood and McDonald, 1997) 각 종들이 선호하고 견딜 수 있는 내성 온도의 범위는 서식지 선택에 있어 중요한 부분을 차지한다(Rahel et al., 1996). 우리나라 어종들이 선호하는 수온은 23-26°C이며 내성의 한계 범위는 27-28°C이다(Chung et al., 2011). 한여름에도 낮은 수온을 유지하는 소양강의 수온은 온수성 어종에게 적합하지 않으며 이는 본 조사에서 냉수성 어종의 높은 비교풍부도를 통해 나타났다(Park et al., 2022).
주기적으로 다량의 물을 방류하는 소양댐으로 인해 소양강에는 독특한 생태계가 형성되었다. 소양강의 고유종 비율은 10.0%로 한반도 전체 담수어류의 고유종 비율인 41.7-52.9%(Baek et al., 2022; Choi and Kim, 2004; Han et al., 2014; Kim et al., 2023)에 비해 현저히 낮은 수치다. 이는 소양강의 수온이 우리나라 고유의 하천과는 또 다른 특성을 보이고 있음을 나타낸다.
특히 이번 조사에서 아우점한 브라운송어(S. trutta)와 같은 육식성 외래어종은 하천 생태계를 위협하는 주요한 요인으로 어란과 치어 등을 포식하므로 경계할 필요가 있다(Azuma, 1992; Yoon et al., 2008).
서식지 환경을 조사한 결과, 모래와 잔자갈이 50%가 넘었으며 모래와 잔자갈로 이루어진 중하류형 하천 구조를 보여주었다. 또한 많은 수초가 자라있는 것을 확인할 수 있었다. 가시고기(P. sinensis)는 수온이 낮고 유속이 느리며 수변식물인 달뿌리풀 또는 수초가 많이 자라있는 곳을 선호한다(Ko, 2016). 본 조사 지역에 해당하는 소양강 하천에는 강변을 따라 갯버들(Salix gracilistyla), 갈대(Phragmites australis), 달뿌리풀(Phragmites japonica), 둑새풀(Alopecurus aequalis)등이 자라고 있었으며 실제 가시고기(P. sinensis)와 가시고기(P. sinensis) 어란의 채집 중 상당 부분이 이와 같은 수생식물이 자란 수변에서 이루어졌기에(Fig. 16) 수변식물의 중요성이 높다고 판단되었다. 가시고기(P. sinensis)의 산란기는 4-8월로 추정되나 정확한 산란에 대해서는 밝혀진 바가 없다. 가시고기(P. sinensis)의 알이 1차 조사(5월)와 2차 조사(7월)에서 발견되어 일회 산란이 아닌 다회 산란의 가능성이 있으며 차후 지속적인 연구가 필요한 것으로 보인다.
1차 조사의 경우 성장도 b 값이 4.0이 넘는 매우 양호한 성장도와 양(+)의 비만도를 보여주었는데 이는 1차 조사 당시 포란한 개체가 다수 채집되어 개체의 무게가 늘어나 성장도와 비만도에 영향을 준 것으로 보인다(Go et al., 1997). 2차, 3차 조사가 수행되면서 성장도와 비만도는 양(+)의 값과 음(-)의 값이 교차 되어 나타나기 시작했는데 이는 포식자가 없이 우점하는 소양강 가시고기(P. sinensis) 개체군의 특성상 종내 경쟁에 의한 것으로 추정되며 추후 지속적인 연구를 통해 확인할 필요가 있다. 연령분포를 확인한 결과, 당년생(0+) 20-36 mm, 만1년생(1+) 32-54 mm, 만2년생(2+) 48-74 mm로 전체적으로 전장의 길이와 성장이 양호한 것을 확인하였다. 길이가 70 mm 이상 넘어가는 만 3년생(3+) 개체 또한 발견되어 최대 90 mm인 가시고기 성장(Reshetnikov, 2002) 임계치에 근사한 것으로 나타났다. 종합적으로 당년생(0+), 만 1년생(1+), 만 2년생(2+)이 골고루 나타나는 안정적인 연령분포를 보여 소양강의 가시고기(P. sinensis) 개체군은 일시적으로 나타나는 특이현상이 아닌 안정적으로 정착을 이룬 것을 확인할 수 있었다.
본 연구에서는 소양강 가시고기(P. sinensis)의 안정적인 정착 여부와 원활한 생장을 확인하였다. 소양강 서식지는 기존에 나타나지 않았던 새로운 유형의 서식지로 이입종인 가시고기(P. sinensis)의 처후 및 영향에 대한 논의와 정밀한 조사를 필요로 하였지만 역으로 터전을 잃어가는 멸종위기종 보호와 보전에는 좋은 데이터를 제공해 주는 중요한 역할을 할 것으로 판단된다. 소양강 가시고기(P. sinensis) 서식지는 국내 최대 규모의 서식지로 보이며 이는 멸종위기종 보호와 가시고기(P. sinensis) 생태에 매우 높은 가치를 지니고 있다.



















