서 론
최근 우리나라의 신선 농산물 수출 주요 품목은 파프리카, 토마토, 그리고 딸기가 상위 3순위이며, 2018년도에 2017년 대비 파프리카는 3.1%, 딸기는 8.0%, 그리고 토마토는 20.5%로 계속 상승하고 있는 추세이다. 이중 파프리카와 토마토는 일본으로 각각 99.5%와 97.9%의 물량이 집중되어 있는 반면 딸기는 동남아시아인 홍콩, 싱가포르, 태국, 말레이시아 및 베트남 등으로 다변화되어 있는 것으로 보고되어 있다(aT, 2019). 이와 같이 딸기의 수출은 다양한 국가를 대상으로 수출되고 있는데 반해 품종이 ‘매향’에 집중되어 있어 수출에 한계가 있고, 수입국 소비자의 다양한 입맛에 맞는 품종 개발이 선행되어야 하며, 이들 품종에 대한 수확후 관리가 중요하다고 판단된다.
국내 딸기 전체면적 90% 이상이 촉성 재배되고 있으며(Kim et al., 2016), 이에 적합하게 육성된 품종은 ‘금실’과 ‘킹스베리’가 있다. ‘금실’은 기존의 품종에 비해 과실의 크기 및 상품성이 우수하나(Kim et al., 2016), ‘킹스베리’는 대과종이나 경도 및 당도가 기존의 품종보다 낮아 단점으로 지적되고 있다(Yoon et al., 2020).
딸기는 수확후 영양학적으로 우수한 과실로 소비자들은 대부분 신선한 생과로 이용하지만, 유통기간이 매우 짧고 경도가 약하며 곰팡이에 의한 부패가 쉽게 발생하여 선도유지에 어려움이 있다(Lee et al., 2014). 이러한 딸기의 수확후 신선도 유지기간이 짧은 단점을 극복하기 위하여 재배 전에 칼슘을 엽면시비(Demarty et al., 1984)하거나, 수확후에 고CO2 처리(Park and Jeong, 2015; Kim et al., 2016), ClO2 처리(Jin et al., 2007; Park and Jeong, 2015), 1-MCP 처리(Bower et al., 2003; Villarreal et al., 2010) 및 MA 포장(Kartal et al., 2012; Lee et al., 2014), pallet 단위 포장(Kim et al., 2018; Kim et al., 2019) 등 다양한 연구가 수행되어 일부 효과가 인정되어 산업현장에 적용되는 연구사례가 많이 보고되었다.
지금까지 우리나라는 농산물 수출에서 항공운송비를 aT 한국농수산식품유통공사에서 50% 지원을 받고 수출하였는데(WTO, 2015), 2024년도부터 농산물 수출 시 물류비용 지원이 중단될 예정이다. 이에 따라 신선 딸기의 유통기간 연장의 필요성이 대두되었으며, 최근 육성된 딸기를 대상으로 물류비 절감 차원에서 선박수출 목적을 갖고 포장방법을 개선할 필요가 있다. 본 연구에서는 딸기의 신선도 연장을 위해 MA 포장 내 적정 CO2 농도를 유지시켜 수출시 벌크형 active MAP에 적용할 수 있는 기술 개발을 위한 기초연구를 수행하고자 하였다.
재료 및 방법
공시재료는 국내에서 육성한 신품종인 ‘금실’ 및 ‘킹스베리’를 선정하였고, 충남 논산시 노성면 한 농가에서 고설식으로 양액 재배한 딸기를 당일 수확한 것을 노성농업협동조합 APC에서 구매하여 강원대학교 고랭지경제작물 저장실험실 temperature & humidity chamber (DF-388, Hanyoung Nux, Incheon, Korea)에서 24시간 동안 2°C, RH 80 ± 5% 조건으로 안정화시킨 후 연구에 이용하였다.
Active MA 포장을 위한 MA 포장재 선정을 위해 LDPE(30 µm), OTR필름(20,000 cc/m2·day·atm O2 permeability) 및 OPP 방담필름 30 µm(2,500 cc/m2·day·atm O2 permeability)를 이용하여 ‘금실’을 300 g씩 3반복으로 MA 포장하여 저장온도 2°C, 습도 RH 80 ± 5% 조건에서 저장하였다. 저장 시 품질 평가는 2일 간격으로 저장 12일까지 경도, 당도, 산도 및 중량 감소율을 조사하였다. 경도는 과실의 적도 부위를 측정하였으며, 최대 10 kg의 힘을 가진 Sun Rheo Meter Compac-10011(Sun Scientific Co., Ltd., Tokyo, Japan)로 끝이 뾰족한 직경 ∅3 mm stainless steel probe를 사용하여 측정하여 N(Newton)의 단위로 표현하였다. 가용성 당 및 산 함량은 Tilahun et al.(2017b)의 방법에 준해서 수행하였다. 가용성 당 함량은 Atago DR-A1 digital refractometer(Atago Co. Ltd., Tokyo, Japan)를 이용해 20°C에서 10개의 과실을 측정하여 %로 표시하였다. 적정 산도는 희석된 딸기 주스(1 mL juice : 19 mL 증류수)를 DL22 Food and Beverage Analyzer(Mettler Tolido Ltd., Zurich, Switzerland)를 이용하여 0.1 N NaOH로 pH 8.1까지 적정하였으며, 그 결과를 딸기의 무게에 따른 mg kg-1 단위로 나타냈다. 딸기의 중량 감소율은 Tilahun et al.(2017a)의 방법에 준하여 딸기 저장초기부터 2일 간격으로 중량을 측정하여 초기의 중량과 비교하여 생체중 감소를 백분율(%)로 표시하였다. 그리고 active MA 저장기간을 구명하기 위하여 수확후 처리는 Adanech et al.(2017)의 방법을 변용하여 무처리구, 고CO2 30%를 12시간 처리구 그리고 CO2 5% 및 10%를 24시간 처리구로 구분하였으며 각각 처리 후 MAP 포장하여 저장하였다. 포장재는 OPP 방담필름 30µm(2,500cc/m2·day·atm O2 permeability)를 이용하여 MA 포장하였다. 저장온도 2°C와 습도 RH80 ± 5%로 조절된 저장고에 저장하면서 2일 간격으로 8일간 경도, 당도, 산도 및 감소율을 조사하였다. 관능평가는 10명의 패널을 대상으로 전체평가, 단맛, 신맛, 조직감, 신선도 및 향을 조사하였으며, 상품성이 높을수록 5에 가깝고 비상품과 일수록 1에 가깝도록 평가하였다. SAS 통계 소프트웨어(SAS/STAT® 9.1, SAS Institute Inc., Cary, NC, USA)를 사용하여 저장 기간 동안 품종 사이의 유의적인 차이를 보기 위하여 (ANOVA) 분산 분석과 Pearson correlation test를 사용하였다.
결과 및 고찰
공시 품종 딸기의 경도, 당도, 산도 및 감소율을 조사한 결과 포장재는 OPP 방담필름 30 µm(2,500 cc/m2·day·atm O2 permeability)가 가장 우수한 결과를 나타내어 딸기의 MA 포장재로 적합한 것으로 나타났다(Fig. 1). LDPE 및 OTR 필름(20,000 cc/m2·day·atm O2 permeability)은 저장기간 동안 MA 포장 내에 결로현상이 나타나서 저장산물에 부정적인 영향을 미쳤고(결과 미제시), 특히 소비자 측면에서 보면 산물의 신선도를 판단할 때 시각적 장애요인으로 작용하여 딸기 MA 포장 시 포장재로는 부적합하다고 생각된다.
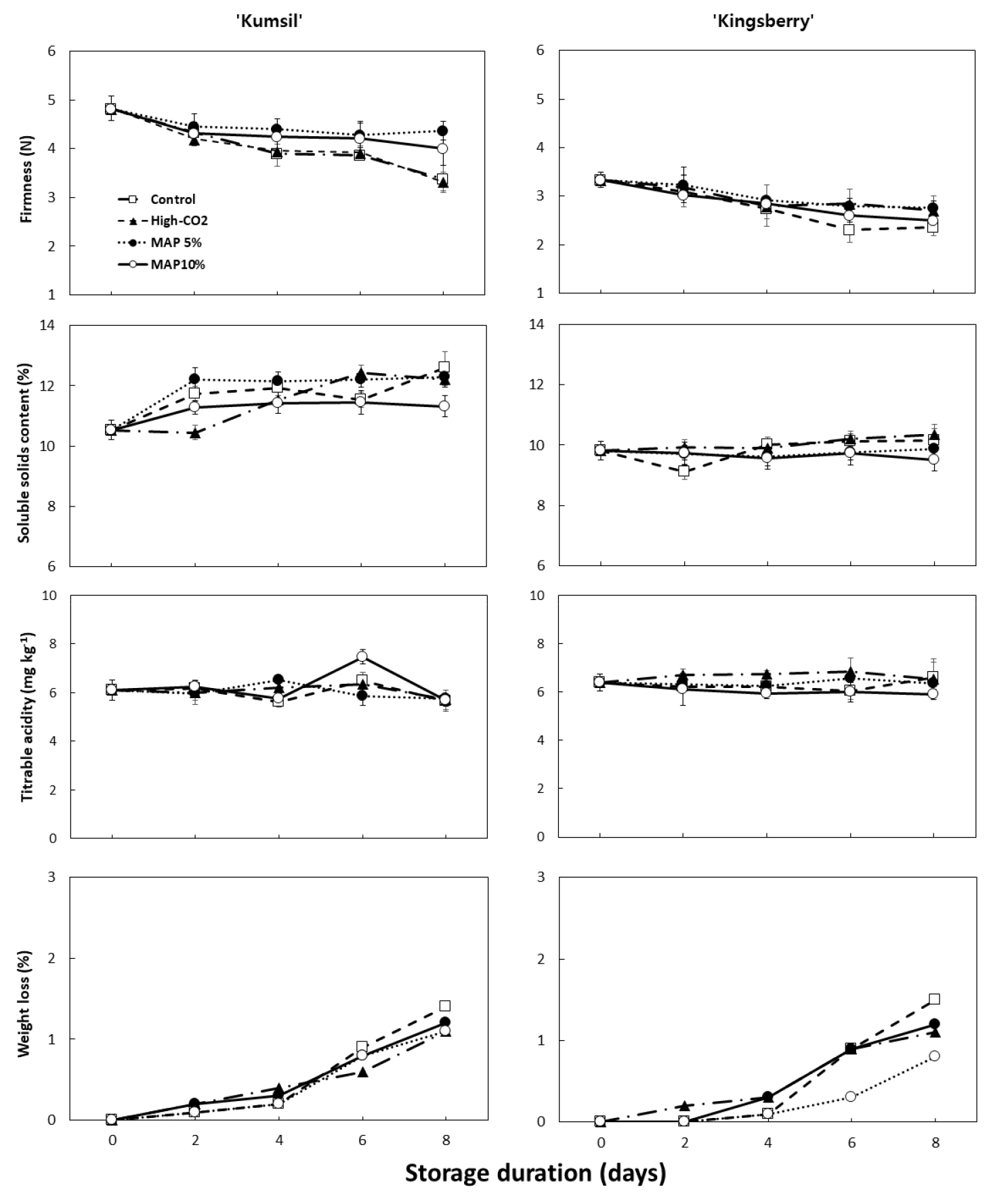
경도는 5% 및 10% CO2 처리 후 MAP 포장한 ‘금실’에서 저장 8일까지 4.0-4.4 N으로 높게 유지되었고, ‘킹스베리’는 high-CO2+MAP 처리 및 5%+CO2 처리구에서 저장 8일에 2.8N 내외를 유지하였다. 당도는 ‘금실’에서 수확 당시보다 저장기간 동안 지속적으로 증가하여 저장 8일째는 12% 내외로 높게 유지된 반면 10% CO2+MAP 처리구에서는 11.3%로 약 1% 정도 낮았다. ‘킹스베리’에서도 10% CO2+MAP 처리구를 제외하고 10% 이상 높게 유지되었으며, CO2 무처리구 보다는 high-CO2 처리구에서 높았다. 적정산도는 ‘금실’에서 저장초기부터 저장 8일까지 처리 간에 차이 없이 5.81 mg kg-1 정도 유지되었다, ‘킹스베리’의 적정산도는 10% CO2+MAP 처리구에서 저장 8일째에 5.9 mg kg-1로 가장 낮았고, 나머지 처리구에서는 6.5 mg kg-1 정도를 유지하는 것으로 나타났다. 감소율은 ‘금실’의 무처리구에서 저장 8일째에 1.5%로 높았고, high-CO2+MAP, 5% 및 10%+MAP 처리구에서는 1.1% 내외로 낮게 나타났다. 저장 중 감소율은 ‘킹스베리’에서도 유사한 경향을 나타냈다(Fig. 2). 일정 수준의 이산화탄소는 인체와 식물에 무해한 무색의 기체로 과채류에 처리하여 미생물에 의한 부패와 호흡, 에틸렌 생성을 억제, 그리고 과실의 경도 유지를 목적으로 사용되고 있다(Lee et al., 2014). 딸기 수확후 처리방법으로 이용되는 high-CO2 처리는 pectin methyesterase (PME) 활성에 영향을 준다는 보고도 있지만, Matsumoto et al.(2010)에 의하면 수확후 high-CO2 처리 시 딸기 과실내부의 수용성 펙틴이 감소하고 이온결합성 펙틴이 증가하여 칼슘이 세포벽으로의 이동과 결합을 촉진시킴으로써 질적 변화를 유도하여 딸기의 저장 중 품질을 개선시킬 수 있다고 보고하였다. 단 high-CO2를 처리할 경우 이취와 관련된 에탄올 축적과 비타민 C 감소 등의 단점을 지적한 보고되고 있다(Jeong et al., 2010; Jeong et al., 2011). 본 연구에서는 선발된 MA 포장재인 OPP 방담필름은 일정량의 공기가 통기되어 이취와 관련된 에탄올 및 아세트알데히드는 축적되지 않았다. Park and Jeong(2015)은 딸기 수확 후 high-CO2 처리에서 저장기간이 경과함에 따라 소폭 감소된다고 보고하였고, 일부 보고에서는 high-CO2 처리와 당도와는 무관하다고 보고되었다(Yang, 1999; Hwang et al., 1999). Park and Jeong(2015)에 의하면 수확한 딸기에 high-CO2 전처리 시 산함량이 무처리보다는 높게 유지되었다고 보고하였는데, 본 연구에서도 품종 간에 차이는 있었지만, ‘킹스베리’ 품종은 high-CO2 전처리구에서 적정산도가 높게 유지되어 유사한 경향을 보이는 것으로 나타났다.
관능평가에서는 저장 최종일인 8일에 5% 및 10% CO2 처리후 active MAP 포장한 처리구에서 전체평가, 단맛, 신맛, 조직감, 신선도 및 향 정도에서 높게 평가되었다. 상품성 기준으로 품종 간에 ‘금실’은 저장 6일(Fig. 3), ‘킹스베리’는 저장 4일까지 상품성이 유지되었다(Fig. 4). 딸기의 주요 수출 대상국은 홍콩, 싱가포르, 태국, 말레이시아 및 베트남 등 동남아시아를 중심으로 수출이 지속적으로 증가하고 있는데 이들 국가로 수출할 경우 항공 운송은 12시간 이내로 수송이 가능하지만, 선박수출은 3-10일이 소요된다(Kim et al., 2019). 이와 같이 운송방법에 따라 수송기간이 현저하게 차이가 있는 것을 감안할 때 ‘금실’은 active MAP 기술을 적용할 경우 선박 운송기간 동안 신선도를 유지할 수 있지만, ‘킹스베리’는 신선도 유지에 어려움이 있어 차후 신선도 유지를 연장할 수 있는 연구가 진행되어야 할 것이다.
따라서 딸기를 수출하고자 할 때 수확후 active MAP 5%를 처리하여 포장하면 딸기를 동남아시아로 수출하는데 소요되는 6-8일 정도의 유통기간을 유지할 것으로 판단된다.
요 약
딸기 수출을 위한 품종의 다양화 및 포장방법 개선에 따른 신선도 유지 및 연장효과를 보기 위하여 최근 육성된 ‘금실’ 및 ‘킹스베리’ 딸기를 대상으로 포장재 종류 및 active MAP에 대한 연구를 수행하였다. 딸기 포장에 적합한 포장재는 OPP 방담필름 30 µm(2,500 cc/m2·day·atm O2 permeability)에서 경도, 당도, 산도 및 감소율 등에서 가장 우수한 품질 유지 효과를 나타내어 딸기의 MA 포장재로 적합한 것으로 나타났다. Active MAP 방법에 따른 경도는 ‘킹스베리’보다 ‘금실’이 저장 8일 기준으로 5% 및 10% CO2+MAP 처리구에서 4.0-4.2 N으로 높게 유지되었고, ‘킹스베리’는 2.8N 내외로 나타나서 품종 간 차이가 많았다. 당도는 전반적으로 무처리구 보다는 처리구에서 낮았고, ‘금실’보다는 ‘킹스베리’에서 낮았다. 저장중 적정산도의 변화도 당도와 유사한 경향을 보였고, ‘금실’ 및 ‘킹스베리’에서 6.3 mg kg-1 내외로 저장 8일까지 유지되었다. 감소율은 ‘금실’ 품종에서 무처리구(약 1.5%)보다는 처리구(약 1.1%)에서 낮았고, ‘킹스베리’는 10% CO2+MAP 처리구에서 0.8%로 가장 낮았다. 관능평가는 저장 8일에 5% 및 10% CO2+MAP 처리구에서 전체평가, 단맛, 신맛, 조직감, 신선도 및 향 정도에서 높게 평가되었다. 상품성 기준으로 ‘금실’은 저장 6일 그리고 ‘킹스베리’는 저장 4일까지 신선도와 품질이 유지되었다.






